高压电流互感器
功能描述
规格型号
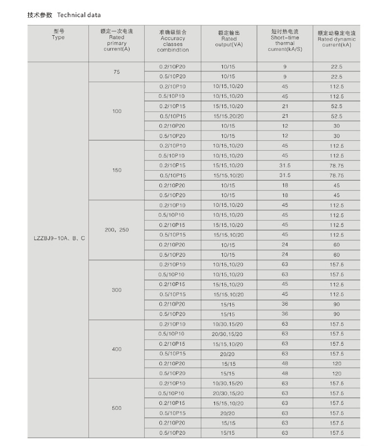
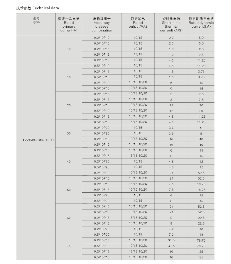
技术参数
返回列表
首页
关于我们
公司简介
产品展示
无功补偿及滤波器
服务中心
服务承诺
服务流程
联系我们
联系方式
留言反馈